Chemox Pharma is a leading and a top Deferoxamine Mesylate manufacturer in India, supplying high-quality pharmaceutical-grade APIs to global markets. Deferoxamine Mesylate is a potent iron-chelating agent widely used in the treatment of acute iron poisoning and chronic iron overload disorders.
The drug works by binding excess iron present in the bloodstream and tissues, forming a stable complex known as ferrioxamine. This complex is safely eliminated from the body through urine and bile, helping reduce toxic iron levels.
Deferoxamine Mesylate is commonly prescribed for patients who undergo frequent blood transfusions, such as those suffering from Thalassemia, Sickle Cell Disease, or Myelodysplastic Syndrome. By removing excess iron, the medication helps prevent long-term organ damage, particularly to the heart, liver, and endocrine system.
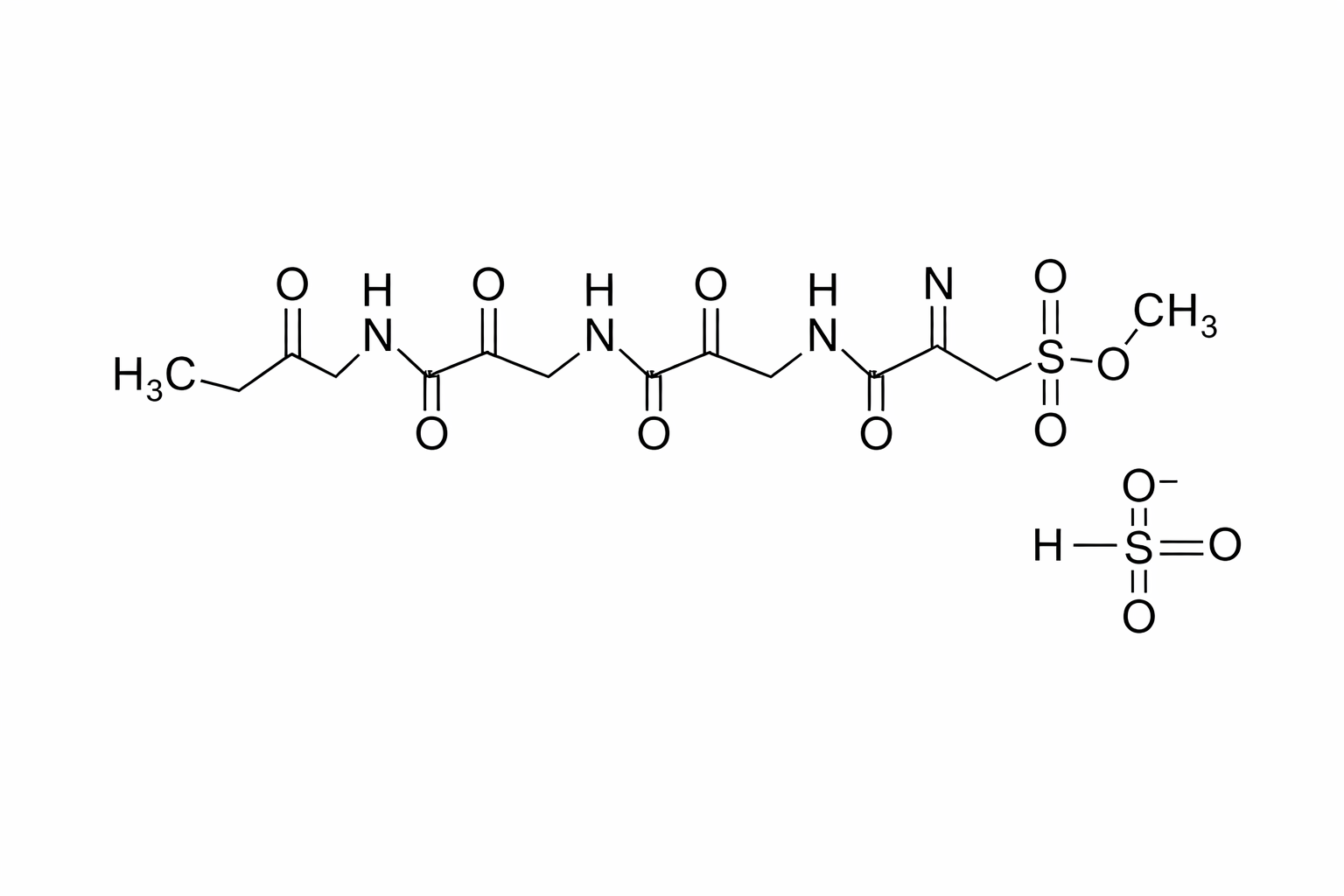
Chemical Name : Deferoxamine Mesylate
Molecular Formula : C₂₅H₄₈N₆O₈ · CH₄O₃S
Molecular Weight : ~656.79 g/mol
Drug Class : Iron Chelating Agent
Key Functional Groups : Hydroxamate groups that bind ferric iron


